Solar System Real Estate
It's Difficult to Find a Place as Pleasant as Earth
Our third generation star, the Sun, has 4 terrestrial planets and 4 gas giant planets, and moons and other debris from its star-forming nebula.
Sun and Planets Compared on the Same Scale
Terrestrial Planets
We group planets with solid surfaces - Mercury, Venus, Earth and Mars - together and call them terrestrial. Your text compares their properties if you want the details. We will take a look at each one here, and compare them to one another. Earth rotates around once on its axis every 23 hours and 56 minutes compared to the distant stars. It takes 24 hours to come around and face the Sun again. Those extra 4 minutes are why the stars rise earlier every night. How would things differ on Mercury?
Terrestrial Planets
MERCURY
Mercury takes 58 Earth-days to turn around once on its axis compared to distant stars. Oddly, that's exactly 2/3 of Mercury's 88 Earth-day long year. Mercury rotates around on its axis 3 times for every 2 times it orbits the Sun. Every 2 Mercurian years it puts its same face toward the Sun again. If we were on Mercury, we'd be too warm on one side and too cold on the other, since temperatures range from 90 to 700 K (-183 C to 427 C, or -297 F to 800 F) around the planet.
Mercury is so small that its gravity is too weak to hold onto an atmosphere that would protect us from ultraviolet light (UV), or from meteorites bonking us on the head. Yet its molten interior creates a weak magnetic field, strong enough to deflect solar wind around the planet.
Mariner 10 flew by in 1974-1975, and MESSENGER arrived at Mercury in March of 2011, having made a flyby itself in 2008.
Image Made from Mariner 10 data in 1974-5 and a MESSENGER Digital Image from 2008
Mercury's orbit is highly eccentric, (much more elliptical than circular). At perihelion (closest to the Sun) Mercury is only 46 million km from the Sun but at aphelion (furthest from Sun) it is 70 million km distant from the Sun.
In this illustration of an orbit, Mercury does not retrace its path. It follows an ellipse, but the ellipse itself moves with each orbit. In Newton's view of gravity and motion, with no other planets in the solar system, Mercury should retrace its path forever.
Mercury's Orbit
It precesses due to curvature of space-time near the massive gravitational influence of the Sun.
The puzzle of the cause of this precession was resolved when Einstein proposed a theory of gravity that, together with the influences of all the other planets, exactly accounted for the observations. This was one of the first experimental tests of "General Relativity", the theory that predicts the existence of Black Holes, and the distortions of space and time found to occur near massive objects.
VENUS
Image Made from Magellan Radar Mapping Done in the 1990's
Venus is the closest planet to Earth in size and distance. It has so much CO2 in the atmosphere trapping the Sun's warmth, that the surface temperature is about 482 degrees Celsius, which is hotter than Mercury even though about twice as far from the Sun.
Its clouds are composed of sulfuric acid droplets. An atmospheric pressure 92 times that at sea-level on Earth, about that 1km deep under the ocean. does not make it very inviting. Despite these harsh conditions, the Venera Russian landers survived long enough to send back a series of images and perform an analysis of the Venusian soil in 1982. You can visit Venus with the Russians here.
Surface of Venus Taken from the Russian Venera 13 Spacecraft
(The camera lens cover is in the foreground.)
Venus Through a Telescope from Earth
Seen from Earth through a telescope, Venus is enveloped in dense white clouds that obscure its surface. It shows phases too, since it is closer to the Sun than we are. The best way to study Venus is to go there. The European Space Agency (ESA) has Venus Express in orbit around the planet now, studying its turbulent atmosphere.
EARTH
Earth has grass, trees, water, and creatures of all sorts, as well as a Moon exactly the right size and distance to block the Sun for solar eclipses.
Earthlings
MARS
Mars
Mars is our nearest neighbor, and the most-studied planet. The Phoenix Mars mission, the most recent NASA probe to the planet, recently completed its work at the edge of the north polar cap. Go to NASA's Mars Program website and click on Phoenix - A Tribute to see the landing live, and hear a description of the discoveries. The Mars Science Laboratory mission launched in December 2011 to arrive on Mars in August 2012. It will place the Curiosity rover in Gale crater to look for conditions and evidence for microbial life.
Mars is a cold desert. Its surface is rocky with dry river beds, deep canyons, extinct volcanoes, three of which are higher than Mt Everest, and wider than the entire chain of Hawaiian Islands. Although the surface is colder than the Arctic on Earth, enough interior warmth exists that water may gush from the walls of canyons. The polar caps, which grow and shrink with Mars' seasons, contain water ice as well as dry ice (CO2) . Methane (CH4) has just been confirmed, indicating that the planet is either biologically or geologically active.
Image from Mars Exploration Rovers
Image from Mars Exploration Rovers
But Mars is little, only half the diameter of Earth, with a third Earth's gravity. The atmosphere is mostly carbon dioxide (CO2) with very little oxygen, and so thin that it is less than 1% the density of air on Earth. This is too thin to breathe or even create enough pressure for living things from Earth to survive.
The moons are little, too. Phobos, the larger, 27 x 22 x 18 km in diameter, is so close to Mars it zips around Mars about every 7 1/2 hours. Further away Deimos, 15 x 12 x 11 km, whirls around Mars every 30 hours (compared to Earth's moon which orbits every 30 days).
Phobos and Deimos
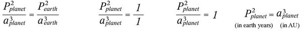
Kepler's Laws
Johannes Kepler used measurements of Mars' slightly eccentric orbit to try to understand why perfect circles did not fit the motions of planets, and discovered (aha!) 3 simple elegant Laws of Planetary Motion.
These are worth repeating...
Law 1. The orbits of the planets are ellipses with the Sun at one focus.
Law 2. A planet sweeps out equal areas in equal times.
Law 3. The square of a planet's year (in Earth years) = the cube of the planet's semi-major axis in astronomical units (AU), or P2 (years) = a3 (AU)
Kepler's Laws were deduced from the motions of the planets known to him at the time, but they are universal and were soon explained by Newton's theories of gravity and motion. Experiment with an orbit around Earth, exactly as Newton conceived it, by visiting this site.
Asteroid Belt
Between the terrestrial planets and the gas giants is the Asteroid Belt of rocky objects, from the size of Ceres, 1000 km across, down to the size of pebbles.
Asteroid Belt
In 2001 after a year orbiting the asteroid, the NASA spacecraft NEAR Shoemaker, landed on 433 Eros and continued sending out signals. 433 Eros was found to be about 33x13x13 km (29x8x8 miles) in size, and has a mass of 6.69x1015 kg and a mean density of 2.67 g/cm3. Some sources say it contains more gold than the total amount of gold ever extracted on Earth. For a movie simulation of the asteroid see this video . The actual asteroid rotating was recorded by NEAR.
433 Eros in 3D made by NEAR Shoemaker before landing on the asteroid
(Use 3D Red/Blue glasses if you have them.)
A catalog of NEAR results can be browsed here.
NASA's DAWN spacecraft is currently orbiting the large asteroid Vesta. In 2015 it will leave and be on its way to the the dwarf planet [ http://en.wikipedia.org/wiki/Ceres_%28dwarf_planet%29Ceres]. DAWN returned this image of Vesta in August 2011 showing craters and grooved terrain which we hope will provided clues about the early history of the solar system.
Vesta Seen by DAWN, August 11, 2011
The smallest detail visible in this picture is about 300 meters across.
Gas Giants
All the Gas Giants are composed mostly of gases, have rings, and have many moons. This video will show you what Voyager saw when traveling to the gas giant planets.
JUPITER
Jupiter and Saturn are primarily made of hydrogen and helium so densely packed we could only float in it. The hot, high pressure interiors of Jupiter and the other gas giants store energy derived from gravity acting on infalling material when they formed. Some of this energy leaks outward, and Jupiter emits more than twice the energy it receives from the Sun. Turbulence generated by the outward transport of the interior heat causes terrific winds. The great storm called Jupiter's Red Spot is an anticyclone trapped between two jet streams, and it has been seen since we first looked at the planet with a telescope.
An Image of Jupiter Taken by the Hubble Space Telescope
Jupiter's Rings Seen from the New Horizons Spacecraft Flyby in 2007
Jupiter's strong magnetic field creates spectacular aurora around its poles.
Hubble Images of Aurora on Jupiter and Saturn
Of Jupiter's moons, Europa may have water beneath its icy crust. Io has giant volcanoes. Ganymede is larger than the planet Mercury.
Jupiter's Galilean Satellites
But energetic ions and electrons, trapped in Jupiter's huge magnetic field, would make being on any of Jupiter's moons immediately fatal. To see more of the moons of Jupiter visit this site.
SATURN
Although Saturn has beautiful rings and many moons in its sky, being mostly hydrogen and helium there is no solid place to take walks to gaze at them. It is the least dense planet, so light it would float. Like Jupiter and Neptune, Saturn radiates more energy into space than it receives from the Sun.
NASA's Voyager, Cassini Equinox and ESA's Huygens missions have explored Saturn, its rings and moons, and continue to make new discoveries .
Saturn as Seen by the Cassini Mission
Saturn's moon Titan is larger than the planet Mercury. The Cassini-Huygens mission consisted of the Cassini spacecraft orbiting and the Huygens probe which landed and sent back images of the surface to the Cassini spacecraft, that then sent them back to Earth.
Surface of Titan as Seen by the Huygen's Lander
With its thick atmosphere, Titan has clouds, shorelines, and may have water beneath its ice that could support microbial life, or a rich organic chemistry.
URANUS AND NEPTUNE
Unlike Saturn and Jupiter, which are made mostly of H molecues and atomic He, Uranus and Neptune are mostly water, ammonia, and methane ices.
Uranus and Neptune as Seen by Voyager 2
Rings of Uranus (Keck telescope) and Neptune (Voyager 2)
Like all gas giants Uranus and Neptune have many moons.
Uranus Showing Rings and Moons
Neptune and its Moon Triton
Moons
Some moons in the solar system are larger than the smallest planets.
Sizes of Large Moons and Small Planets Compared
Kuiper Belt
The Kuiper Belt is icy debris remaining from the primordial solar system. It is the source of short period comets. The dwarf planet Pluto is a Kuiper Belt object. Its comet-like orbit is shown below. Other Kuiper Belt objects are larger than Pluto.
The NASA Voyagers passed the orbits of Pluto and Neptune in 1989. They are in the Kuiper Belt (30 to 80 AU - the Sun-Earth distance) now, and New Horizons is en route to Pluto.
Kuiper Belt showing Orbit of Pluto
Short Period Comets, that return in less than 200 years, originate in the Kuiper Belt. Halley's Comet, which returns about once every 76 years, is a short period comet.
Halley's Comet
Oort Cloud
Oort Cloud is a remnant of the original nebula from which the Sun and planets formed approximately 4.6 billion years ago.
Oort Cloud
The Oort Cloud is the source of long period comets. These comets have the most spectacular tails, since their ice has not previously been blown off by frequent if any earlier approaches to the Sun. Comet McNaught, visible from the southern hemisphere in 2007, was a long period comet, and one of the most spectacular of recent times. It is not expected to return for another 300,000 years.
Comet McNaught in 2007
Solar System Meets the Interstellar Medium
The solar wind extends out beyond the Oort Cloud. As the Milky Way galaxy spirals, the Solar System is swept along, Ahead of it is a bow shock, like the bow of a boat through water, where the solar wind collides with the interstellar medium.
Voyager 1 and 2, launched in the 1970's have now crossed the termination shock and are still sending back data.





